關于過驅動電壓Veff/Vod的分析-KIA MOS管
信息來源:本站 日期:2022-09-29
Veff=VGS-VTH,表示過驅動電壓。
表示的是柵源電壓-閾值電壓。其實是一個變值,會隨VGS電壓變化而變化,也會受VTH的影響(體效應),其實是我們設計過程中可能會經常出現的一個名詞,經常會設計一個比較固定的過驅動電壓。
另外,過驅動電壓也可以表示稱為Vod,直觀的表示就是over drive voltage。
下面通過對過驅動電壓Vod的變化情況,來看下NMOS的工作區:
1、VGS>VTH,且VDS<Veff:
MOS管工作在線性區(三極管區),此時的電流是:
2、VGS>VTH,且VDS>Veff ( VDS>VGS-VTH ----> VGD<VTH ):
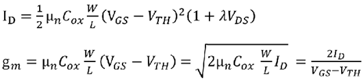
MOS管工作在飽和區,此時的電流是:
如果考慮溝道長度調制效應的話是:
注意:ID描述的電流方向是從D端流向MOS管的。
下面是PMOS的工作區描述:
1、|VGS|>|VTH|,且|VDS|<|Veff|:
PMOS工作在線性區(三極管區),此時的電流是:
2、|VGS|>|VTH|,且|VDS|>|Veff|:
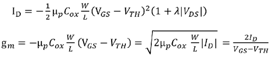
PMOS工作在飽和區,此時的電流是:
如果考慮溝道長度調制的話是:
聯系方式:鄒先生
聯系電話:0755-83888366-8022
手機:18123972950
QQ:2880195519
聯系地址:深圳市福田區車公廟天安數碼城天吉大廈CD座5C1
請搜微信公眾號:“KIA半導體”或掃一掃下圖“關注”官方微信公眾號
請“關注”官方微信公眾號:提供 MOS管 技術幫助
免責聲明:本網站部分文章或圖片來源其它出處,如有侵權,請聯系刪除。
