【電子精選】場效應管放大電路動態分析-KIA MOS管
信息來源:本站 日期:2022-08-17
1. 場效應管的微變等效電路
場效應管是電壓控制型器件,其漏極電流i的大小是通過柵源電壓u進行控制的,其漏極輸出回路可等效為受控于輸入電壓 ugs 的恒流源 gm * ugs。
由于在低頻段輸入電阻 rgs 和漏源電阻 rds 為高阻,可視為開路,故圖2.6.3(b)所示的電路可用圖2.6.3(c)所示的簡化等效電路來表示。
2. 場效應管共源極放大電路分析
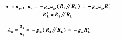
1. 電壓放大倍數Au
“-”號表示共源放大電路的輸出與輸入反相。
2. 輸入電阻Ri
電路的輸入電阻Ri為:
3. 輸出電阻Ro
經典例題:
3. 場效應管共漏極放大電路分析
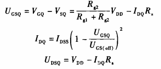
1. 靜態分析
畫出直流通路;聯立變量求解就行
2. 動態分析
聯系方式:鄒先生
聯系電話:0755-83888366-8022
手機:18123972950
QQ:2880195519
聯系地址:深圳市福田區車公廟天安數碼城天吉大廈CD座5C1
請搜微信公眾號:“KIA半導體”或掃一掃下圖“關注”官方微信公眾號
請“關注”官方微信公眾號:提供 MOS管 技術幫助
免責聲明:本網站部分文章或圖片來源其它出處,如有侵權,請聯系刪除。
