常見的共源共柵電流鏡電路分享-KIA MOS管
信息來源:本站 日期:2022-07-05
電流鏡是模擬集成電路設計中基本的電路單元之一,在電流拷貝,運放偏置等電路中極為常見,其決定著電流拷貝的精準性以及運放的增益,匹配等特性。共源共柵電流鏡得益于其優越的輸出阻抗,在高精度的模擬電路中被廣泛使用。
圖1 簡單共源共柵電流鏡
上圖所示為簡單的共源共柵電流鏡,對該電路而言,只需要保證M1和M3,M2和M4這兩對MOS管成比例的設計,同時輸出電壓大于Vgs1+Vdsat2的要求,即可使所有的MOS管都工作在飽和區,以實現精準的電流拷貝和較大的輸出阻抗。
在設計時,我們常常將M1和M3設計得具有較大的溝長L和較大的過驅動電壓,這是因為電流拷貝主要由M1和M3決定,因此較大的溝長L可以保證M1和M3輸出阻抗更大,因而更少地受到漏端電壓的影響,電流拷貝更為精準。
而較大的過驅動電壓可以保證他們受失配的影響更小。而作為減弱輸出電壓影響功能的M2和M4,出于面積和輸出電壓裕度的考慮,要求變得寬松了很多,事實上M2和M4在設計時甚至可以采用工藝允許的最小溝長。這一點在所有的共源共柵中都是適用的。
該電路的最大缺點即為其“吃掉”了很大的輸出電壓裕度,相比低壓共源共柵電流鏡,它需要的輸出電壓“高”一個Vth,對于在意輸出電壓范圍的應用,如供電電壓很低,或為作為共源共柵運放的輸出級等,該電路顯得“浪費”,因此不那么適用。
而對一個不在意輸出電壓范圍的電路,比如芯片中各種電流的簡單拷貝,其電路簡單,設計方便,需要考慮的因素沒有低壓共源共柵電流鏡多,因此更為適用。
圖2 低壓共源共柵電流鏡1
圖3 低壓共源共柵電流鏡2
為了解決簡單共源共柵電流鏡輸出電壓范圍大的問題,低壓共源共柵電流鏡應運而生。圖2和圖3給出了日常設計中兩種常用的低壓共源共柵電流鏡電路,兩者區別為產生M2(M4)的柵極偏置電壓電路的不同。
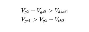
相同的是,為了使所有晶體管工作在飽和區,電路需要滿足式(1):
在圖2中,Vg2即為M5的柵源電壓Vgs5,通過另外一路電流加上合理選擇M5的尺寸,以使得Vg2滿足上式的要求。而在圖3中,Vg2為Vgs1+IinR,通過選擇R的值即可確定Vg2。
根據式(1)可知,Vg2被限定在一個范圍內,因此相比簡單的共源共柵電流鏡,低壓共源共柵電流鏡受到了額外的約束,在這種約束下,會出現下面兩種情況:
情況1:Vg2如果設置過低,則容易使得M1進入線性區,因為在電流鏡中,M1和M3決定電流拷貝,因此工作在線性區會使得該電流鏡直接不正常工作;
情況2:如果Vg2設置過高,則M2進入線性區,此時M4是否進入線性區取決于M4的漏端電壓。但此時,M1和M3仍然工作在飽和區,電流拷貝仍然正常。
如果M4的漏端電壓足夠到M4工作在飽和區,那么M4仍然可以起到減弱輸出電壓對M3漏端電壓影響的作用,但是因為M1+M2與M3+M4不是完全鏡像,因此電流拷貝的精準性不如完全正常工作的電流鏡。
這種情況,如果不要求電流拷貝準確,只單純想要高輸出阻抗,比如作為運放輸出級,那么該目標仍然可以實現。因此,如果在設計運放偏置時,由于電路的限制,必須選擇Vg2在整個溫度,工藝角范圍內高一些或是低一些,高一些這個選擇可能影響會更小。
這也是筆者在電路設計時常常遇到的問題,該問題尤其在Vgs1較低時更容易出現,因為該情況會使得留給Vg2的可選范圍很小,尤其加上溫度和工藝角的考慮。
圖2和圖3相比,圖2電流需要多一路電流進行偏置,而圖3電路需要多使用一個電阻,前者帶來額外的功耗和電路復雜度,后者帶來更大的面積(尤其在低功耗電路中),設計時可以根據需求進行選擇。
相比簡單共源共柵電流鏡,低壓共源共柵電流鏡多了一個閾值電壓的輸出電壓裕度,因此更適用于低供電電壓,運放輸出級等場景。
聯系方式:鄒先生
聯系電話:0755-83888366-8022
手機:18123972950
QQ:2880195519
聯系地址:深圳市福田區車公廟天安數碼城天吉大廈CD座5C1
請搜微信公眾號:“KIA半導體”或掃一掃下圖“關注”官方微信公眾號
請“關注”官方微信公眾號:提供 MOS管 技術幫助
免責聲明:本網站部分文章或圖片來源其它出處,如有侵權,請聯系刪除。
