MOS管結構及其I/V特性詳細分析-KIA MOS管
信息來源:本站 日期:2022-03-30
以NMOS為例介紹MOSFET的基本結構,如下圖所示,器件以p型硅為襯底,并擴散形成兩個重參雜n+的區域,分別為源端(Source)和漏端(Drawn),應當注意的是,對于單個器件,源端和漏端是人為定義的,兩者是對稱可交換的。
對于NMOS器件,源端一般接在電路的最低電位(接地),但對與PMOS源端一般接在最高電位(Vdd)。源漏之間的存在導電溝道,其理論長度為 LdrawnL,但是由于在形成過程中國的非理想因素的影響,導電溝道的長度會有一定程度的減小,也即 LeffL ,兩者之間的距離差為由于電子(空穴)熱運動引起的遷移長度LD。
在溝道上方先生長一層絕緣的二氧化硅,然后再生長已成多晶硅作為柵極,與源漏方向垂直的珊的尺寸叫柵寬W。可以知道,柵極與器件的其他部分是絕緣的,但是柵極卻在MOS導電方面起著極其重要的作用:通過在柵極施加電壓影響溝道的空穴(電子)的遷移進而影響器件的導電性能。
由此可見,在一定程度上來講,MOSFET是壓控器件,這在后面也會提到。應當注意的是,MOSFET是一個四端器件,但是通常情況下為了避免二級效應帶來的影響,會將器件的源端和漏端相連,作為一個三端器件使用。
上圖顯示了在( VGS ? VTH )一定時漏源之間的電流隨著漏源之間的電壓變化的趨勢,從圖中可以看出,MOSFET的I/V特性曲線被劃分到兩個區域,即左上方的逐漸增加區域(三極管區)以及右下方的穩定區域(飽和區),其分別可以用兩個公式來描述:
上述μn為電子遷移率, COX為柵氧化層的電容,W為柵寬,L為柵長,VGS為柵源之間的電壓,VDS為漏源之間的電壓,VTH為MOS結構的閾值電壓
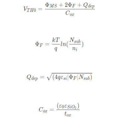
ΦMS為多晶硅柵和硅襯底功函數之間的壓差,Nsub是襯底的參雜濃度,Qdep是耗盡區電荷,tox為氧化層厚度,ε表示對應的介電常數,進一步的,當 VDS <<(VGS ? VTH)時:
此時可以將MOSFET看作是一個電阻,并稱MOSFET工作在深三極管區
注:對于PMOS器件,只需將上述公式中的μn改為up并添加負號即可。考慮到由于器件工作在飽和區時,ID保持不變,因此定義一個電導來描述它
該電導被稱之為跨導,它表征了柵源電壓轉換為漏電流的能力。
聯系方式:鄒先生
聯系電話:0755-83888366-8022
手機:18123972950
QQ:2880195519
聯系地址:深圳市福田區車公廟天安數碼城天吉大廈CD座5C1
請搜微信公眾號:“KIA半導體”或掃一掃下圖“關注”官方微信公眾號
請“關注”官方微信公眾號:提供 MOS管 技術幫助
免責聲明:本網站部分文章或圖片來源其它出處,如有侵權,請聯系刪除。
