MOSFET的FT,如何定義?FT計算-KIA MOS管
信息來源:本站 日期:2021-04-14
在MOS源極和漏極接交流地時,器件的小信號電流增益降至1的頻率稱為:“transit frequency”(fT)
FT計算
MOS的小信號模型如下:
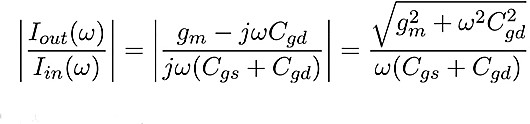
輸入電流Iin(ω):
(1)
輸出電流Iout(ω):
(2)
電流增益:
(3)
低頻時,gm>>ωCgs
(4)
高頻時,gm<<ωCgs
(5)
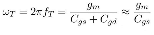
我們讓(4)式等于1,可以求出ωt (注: FT=ωt/2π)
(6)
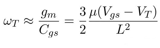
根據gm表達式, 用Vgs替換掉式(6)中的gm
(7)
把(7)帶入(6)得到:
(8)
影響因素
根據式(8),可以知道–增大Vgs可以增大FT–減小溝道L會增大FT
進一步說: 根據式(6)
–增大偏置電流可以增大FT(FT:∝電流的平方根)
–當偏置電流恒定,減小溝道的L可以增大FT[FT∝L^(-3/2)]
注意
–FT不受S端和D端結電容的影響。
–FT不受RG的影響,且仍等于上面(6)給出的值。
PS: 小尺寸MOS管FT筆記
FT隨過驅動而增加,但隨著垂直電場減小了遷移率變而平。下面繪制的是NMOS器件的fT,其中W / L = 5μm/ 40 nm VDS = 0.8 V.
聯系方式:鄒先生
聯系電話:0755-83888366-8022
手機:18123972950
QQ:2880195519
聯系地址:深圳市福田區車公廟天安數碼城天吉大廈CD座5C1
請搜微信公眾號:“KIA半導體”或掃一掃下圖“關注”官方微信公眾號
請“關注”官方微信公眾號:提供 MOS管 技術幫助

